log(対数)とは何なのか【感覚でカンタンに高校数学】

対数の意味や計算が全くわからない!
logって何?
高校生によくそんな質問をされますが、ちゃんと意味さえわかっていればとても簡単な単元です。
基本から少しずつ理解して、マスターしてしまいましょう。
まずlogって何?
logのざっくりとした解説
logの計算や公式を考える前に、まずlogが一体何を意味しているのかを理解することが大切です。
logの意味
次の式を見てください。

(1)と(2))の答えは簡単ですよね。
x=2,y=3です。
ただ、(3)のzはどうでしょう。
これに当てはまるような数は思いつきませんよね。
ただ、このような数は必ず存在するのです。
このzを記号で表したのが、対数です。

このとき z=log[2]6と書きます。([]の中の数字は小さく書きます)
つまり、log[2]6は、2を何乗すれば6になるのかを指す数です。
計算できるlog
logと書いていても、普通の数として存在するものもあります。
例えば、先ほどの式でx=log[2]4=2ですし、y=log[2]8=3といった感じです。
2を基準にして、いくつかlogについて考えてみましょう。

2を何乗しても、3には普通なりません。
なので、こういうときにはlogを使う必要があります。
しかし、2を何乗して、4や8にすることはできますよね。
そういったlogについては、値を求めることができます。
√の記号の意味を習ったときに、√のままで良いものと、きちんと計算できるものがありましたよね。
あれと同じで、logのままで良いものと、きちんと計算できるものがあります。
以上がlog(対数)の基本、ということになります。
スポンサードリンク
対数の3つの計算法則
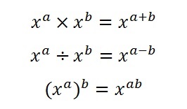
logの計算をする上では、3つの計算法則があります。
これらは全て、指数の計算法則から導けるものです。
少し指数の計算法則をおさらいしましょう。

掛け算すると、指数では足し算。
割り算すると、指数では引き算。
べき乗の計算をすると、指数では掛け算、という法則でした。
これを前提に、対数の計算法則を紹介します。

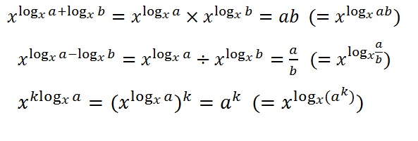
丸暗記して使えるようにしましょう。
もし暗記が苦手な方は、@から順番に具体的に計算して考えて見ましょう。
(ここから下は難しいと感じたら無視しても大丈夫です)
それぞれの式の計算結果を見てみると、先程の計算法則の通りになっていることがわかります。

logのまとめ
logの意味は理解できましたか?
覚えないといけないのは、logの意味と、計算法則です。
もう一度復習して、マスターしてしまいましょう!





