微分係数・導関数とは何なのか【感覚でカンタンに高校数学】

「微分係数って何?」
「導関数って何?」
そんな高校生たちのための、微分シリーズpart2です。
今回は、微分に登場する単語たちを、簡単に解説します。
微分の復習
微分とは?
微分の基本についての記事で、微分の意味と概要について解説しました。
微分とは、「接線の傾きを求める計算」のことです。
微分を使うと、y=ax+bの式のうち、aの値を求めることができます。
接線の方程式
接線の傾きを求めた後は、直線の公式を使って、接線の式そのものを求めることもできます。
直線の公式を使うときは、通る点の座標と、傾きが必要です。

「微分係数」って何?
微分係数…接線の傾き
まずは、微分係数(びぶんけいすう)についてです。
こちらは、前回の記事でも既に登場しています。
微分係数とは、あるグラフの接線の傾きの値そのもののことです。
特に、x=pのときの接線の傾きのことを、f’(p)(エフ・ダッシュ・p)と書きます。
例えば、あるグラフのx=3のときの微分係数は、f’(3)(エフ・ダッシュ・3)です。
接線の方程式を求めるためには、まず微分係数を求めるのが先決です。
直線の公式には、傾きがどうしても必要だからですね。
微分係数の求め方
微分係数を求めるためには、もちろん計算が必要です。
ただ、この計算、正攻法でやろうとするとめちゃくちゃ面倒です。
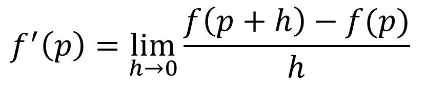
定義通りに求めようとすると、f’(p)は次のような計算をする必要があります。

これが本来の微分の定義式です。
待ってください、諦めるのはまだ早いです。
「記号の意味からわからない!」という人がほとんどでしょう。
このlim(リミット)の計算は、詳しくは数Vの「極限」という単元で習う内容です。
「おいおい、ガチ理系しか解けないじゃないか…」ということになってしまいますよね。
毎回こんな計算やってられません。
安心してください。
実際には、この計算をしなくてもいいように、抜け道を使って計算をします。
その抜け道が、「導関数」です。
スポンサードリンク
「導関数」って何?
導関数…微分係数を求めるための計算式
毎回毎回、定義の式どおりに微分係数を求めるのは、非常に大変です。
なので実際には、微分係数をもっと簡単に求める方法を使います。
それが、導関数(どうかんすう)です。
導関数は、微分係数をカンタンに求めるための計算式です。
導関数の具体例
導関数の計算方法は、後ほどやるとして、具体的な導関数を紹介します。
例として、放物線の接線の傾きを求めてみましょう。
元の放物線の式から、ある計算をすると、導関数を求めることができます。
この導関数を求める作業のことを、「微分する」といいます。
微分して出てきた導関数に、接点のx座標を代入すると、微分係数が求まります。
例えば、x=3のときの微分係数f’(3)を求めるときは、次のような計算になります。

導関数の計算(1)
元の関数から導関数を求めれば、接線の傾き(微分係数)がすぐにわかるようになります。
この肝心の導関数は、実はとても簡単な計算で出すことができます。
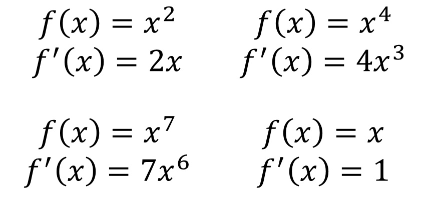
例をいくつか書くので、どんなルールになっているか考えてみてください。

多分すぐにわかったと思いますが、xの指数(〇乗の部分の数字)を前に掛け算して、指数を1小さくするだけです。
元々1乗のときは、xが消えて係数だけになります。

慣れたら2秒で計算できるようになります。
導関数の計算(2)
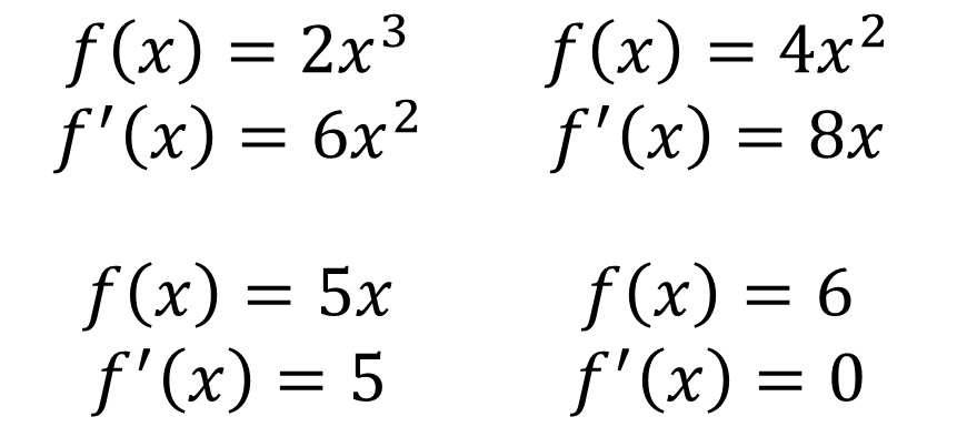
更に次の例を理解したら、微分の計算はマスターしたと言ってもいいです。

xの前に係数が付いていても、とにかく同じように指数を前に掛け算します。
また、定数項(ただの数)は微分すると0になって消えてしまいます。

更に、元の式が+やーを含む多項式でも、それぞれのパーツごとに計算して大丈夫です。
練習問題
実際に接線の方程式を求める計算を、最初から最後までやってみます。
次の例題について、考えてみましょう。

どうやったら解けるか、自分でも考えながら読み進めてくださいね。
ここから下にスクロールすると答えが出てきます。

これだけの作業を、パッと思いついてできるようになることが最初の目標です。
まとめ
最後にこの記事の内容をまとめておきます。
導関数:微分係数を求めるための式
微分:もとの関数から導関数を求める計算
微分を克服して、得意単元にしてしまいましょう!




