微分とは何なのか【感覚でカンタンに高校数学】

「微分って何?」
「何か名前が難しそう」
「結局何の計算してるのかわからない」
数学が苦手な人の中には、数Uの「微分」は名前だけでも拒否反応が出てしまう人もいます。
しかし、実は「微分」は高校数学の中ではめちゃくちゃ点を取りやすい単元の一つです。
微分の計算の意味を理解して、一気に得意分野にしてしまえるよう、カンタンに解説します。
微分って結局何をしている?
微分=接線の傾きを求める計算
まずはじめに、一番大切なことを言っておきますね。
微分は、接線の傾きを求めるための計算です。
学校の授業の微分では、計算方法ばかり教えられて、「計算はできるけど、結局何をしているのかわからない」という人が出てくることがあります。
「何をしているのか分からない」というのは数学では致命的なので、絶対に押さえておいてほしいポイントです。
今から説明することはすべて、接線の傾きを求めるための話です。
直線の傾き
接線の話に入る前に、まず普通の直線のことを復習しておきましょう。
直線の方程式は、中学2年生で習う一次関数で登場します。
y=ax+b、ですね。
この式の中のaのことを、「傾き」と呼びました。
この傾きは、「変化の割合」とも習ったと思います。
傾き(変化の割合)を求めるための計算式、覚えていますか?
そう、「えっくすのぞうかりょうぶんのわいのぞうかりょう」ですね。
呪文のように覚えさせられた記憶もあるかもしれません。

実はこの公式の変形が、微分です。
ただ、わざわざ紹介しましたが、今回はこの計算は使いません。
頭の片隅にでも置いておいてください。
接線の具体例
言葉だけでは全然イメージしにくいと思うので、一つ簡単な例を出してみます。
次のグラフを見てください。

これは中学で習う放物線と直線のグラフですね。
直線は、放物線と点(3,9)で接しているのがわかると思います。
さて、この直線の方程式は、どんな式でしょう?
直線の方程式を求めるためには、やっぱり傾きの値が欲しいですよね。
これが、なんと微分で一瞬で求められてしまいます。
細かい計算は省略しますが、この直線の傾きは6とわかります。
(一応、式だけ載せておきます。計算方法は別の記事で)

というわけで、この放物線の接線は、傾きが6で、点(3,9)を通るということがわかりました。
ちなみにこの傾きのことを、微分係数といいます。
直線のxの係数を、微分で求めるから、微分係数です。
微分のイメージ
微分とは、接戦の傾きを求めることだと言いました。
これを図でイメージすると、「グラフをズーム(拡大)して、無理やり直線として考える」ということになります。
このイメージについては、他のサイトでわかりやすく解説されていたので、そちらも併せてご覧ください。
外部サイト>>微分とは何か? − 中学生でも分かる微分のイメージ
微分の計算方法
微分の計算方法そのものは、別の記事で詳しく解説します。
この記事では、あくまでも、「微分で何をしたいのか」の全体イメージをつかんでください。
ただ、微分の計算自体はとても簡単なので、学校の授業や教科書でも理解できるかもしれません。
接線の方程式
微分を使ったら接線の傾きがわかる、と言ってきました。
しかし、傾きまで求めておいて、直線そのものの式を求めないというのも、なんだか中途半端ですよね。
実際、問題などでは「接線の方程式を求めなさい」と出題されます。
ここでは、高校数学式の、接線の方程式の求め方を解説します。
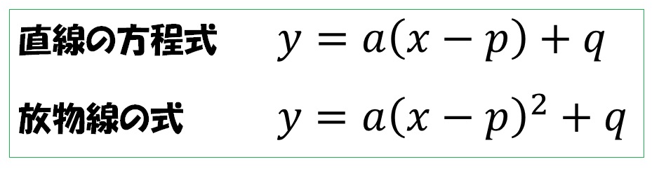
直線の公式
さきほどの接線を例に挙げてみます。
傾きが6で点(3,9)を通る直線、というところまで分かっていました。
実はここまで分かっていたら、中学生でも直線の方程式を求めることができます。
中学生風だと、y=ax+bに傾き6と(3,9)を代入して、bの値を求めますね。
これでも式そのものは求めることはできますが、今後応用問題に対応できなくなってしまいます。
なので、ここで高校数学式の、直線の求め方を復習しておきましょう。
高校数学の直線の公式は、次のようになっています。
2つ形がありますが、どちらでも構いません。

オススメは上の形です。
教科書だと下の形で載っているので、覚えやすい方で覚えましょう。
これを使って、接線の公式を求めていきます。
ちなみに、勘が良い人は気づくかもしれませんが、これは数Tの二次関数の公式にそっくりですね。

接線の式の求め方
さて、接線の話に戻ります。
先ほどから話題になっている接線は、傾き6で点(3,9)を通ります。
これを先ほどの公式に代入すること、こうなります。

というわけで、ずっと話題になっていた接線は、y=6xー9ということがわかりました。
先ほど一瞬触れましたが、微分を使って求めた接線の傾きのことを微分係数といいます。
特に、x=pのときの微分係数(傾き)をf’(p)と書きます。
なので、接点(p,q)を通る直線の公式は、傾きがf’(p)なので、

というように書けます。
まとめ
微分のイメージは理解していただけましたか?
雰囲気がわかってきたら、実際の計算方法などの解説ページも読んでみてください。



